자격증

소프트웨어공학 문제은행

ddgoori 2019. 11. 7. 16:42

1. 소프트웨어 형상 관리(Configuration management)의 의미로 가장 적절한 것은?

=> 개발 과정의 변경 사항을 관리하는 것

 

2. 소프트웨어, 하드웨어 데이터베이스, 테스트 등을 통합하여 소프트웨어를 개발하는 환경을 조성한다는 의미를 가진 용어는?

=> CASE

 

3. 소프트웨어 품질 목표 중 쉽게 배우고 사용할 수 있는 정도를 의미하는 개념으로 가장 타당한 것은?

=> Usability

 

4. Booch는 요구사항 분석을 하는 과정에서 절차지향 프로그램으로 개발하려면 (가) 에 밑줄을 긋고, 객체지향 프로그램으로 개발을 하려면 (나)에 밑줄을 그어라고 했다.

=> (가) 동사          (나) 명사

 

5. 소프트웨어 품질보증을 위한 FTR의 지침사항으로 가장 옳지 않은 것은?

1) 논쟁과 반박의 제한성

2) 의제의 무제한성

3) 제품 검토의 집중성

4) 참가인원의 제한성

 

6. 시스템의 구성 요소 중 자료를 입력하여 출력될 때까지의 처리 과정이 올바르게 진행되는지 감독하는 것은?

=> Control

 

7. 정보 시스템 개발 단계에서 프로그래밍 언어 선택 시 고려할 사항으로 거리가 가장 먼 것은?

1) 개발 정보 시스템의 특성

2) 사용자의 요구사항

3) 컴파일러의 가용성

4) 컴파일러의 독창성

 

8. 블랙박스 테스트를 이용하여 발견할 수 있는 오류의 경우로 가장 거리가 먼 것은?

1) 비정상적인 자료를 입력해도 오류처리를 수행하지 않는 경우

2) 정상적인 자료를 입력해도 요구된 기능이 제대로 수행되지 않는 경우

3) 반복 조건을 만족하는데도 루프 내의 문장이 수행되지 않는 경우

4) 경계값을 입력할 경우 요구된 출력 결과가 나오지 않는 경우

 

해설

 

블랙박스 테스트 개념(외부)

1. 실행파일 형태(인터페이스)로 소프트웨어를 테스트

2. 제대로 동작하는가를 검증하는 방식

3. 자료구조, 외부 데이터 접근, 인터페이스, 성능에러 등에 관한 것들을 확인

4. 화이트박스 테스트보다 비용 많이듬

5. 내부에 어떤 보안기술들이 적용되어 있는지 알수 없음.

 

블랙박스 종류

동치분할검사, 경계값 분석, 원인-효과 그래프 검사, 비교검사, 오류예측검사

 

화이트박스 테스트 개념(내부)

1. 소스코드 형태로 추출 정보를 활용하여 논리적인 모든 경로를 테스트

2. 구조적 테스트

3. 설계에 초점을 둠

4. 구조, 논리흐름, 블랙 박스 테스트보다 비용이 적게듬

 

화이트박스 종류

기초경로검사, 구조검사, 루프검사, 데이터 흐름검사

 

차이점 예)

블랙박스 테스트는 실행파일 형태 , 화이트박스는 소스코드형태로 소프트웨어를 테스트한다.

게임을 직접 플레이하며 게임상으로 드러난 결과물을 검사하는 것이 블랙박스 테스트이고

게임 소프트웨어 내부의 프로그래밍 언어를 실행 단계에 맞게 추적하며 오류를 검사하는 것이 화이트박스 테스트이다.


출처: https://info5566.tistory.com/entry/블랙박스-화이트박스-테스트-차이점 [승원이의 여행과 IT]

 

9. 간트 차트에 포함되지 않는 사항은?

1) 이정표

2) 작업 일정

3) 작업기간

4) 주요 작업경로

 

PERT/CPM

간트차트와의 차이는 작업간의 선후관계가 표시된다는 것이다

출처: https://raisonde.tistory.com/entry/간트-차트Gantt-Chart와-PERTCPM [지식잡식]

 

10. 럼바우의 모델링에서 상태도와 자료 흐름도는 각각 어떤 모델링과 가장 관련이 있는가?

상태도 - 동적모델링

자료흐름도 -  기능모델링

 

해설:

 

럼바우 분석 기법: 소프트웨어의 구성 요소를 그래픽 표기법을 이용하여 모델링하는 객체지향 분석 기법

순서: 객체 모델링 -> 동적모델링 -> 기능모델링

 

- 객체 모델링: 객체 다이어그램 이용(시스템에서 요구되는 객체를 찾아내어 속성과 연산 식별 및 객체들 간의 관계 규정) , 가장 중요하며 가장 선행되는 단계

- 동적 모델링: 상태도 이용(시간의 흐름에 따른 객체들 사이의 제어 흐름, 동작 순서등 동적인 행위 표현)

- 기능 모델링: 자료흐름도 DFD 이용(다수의 프로세스 간의 자료 흐름을 중심으로 처리 과정 표현, 어떤 데이터 입력하면 어떤 결과를 구할 것인지 표현)

 

기능 모델링 설계 순서

  1. 입출력 결정
  2. 자료 흐름도 작성(기능 의존 관계를 서술)
  3. 기능의 내용을 상세히 기술
  4. 제약사항을 결정하고 최소화

 

11. 소프트웨어를 개발하기 위한 비지니스를 객체와 속성, 클래스와 멤버, 전체와 부분등으로 나누어서 분석해내는 기법은?

=>객체지향 분석

 

12. 위험 모니터링의 의미?

=> 위험 요소 징후에 대하여 계속 인지! 하는 것

 

 

13. 자료 흐름도의 요소 중 다음 설명에 해당되는 것은?

- 시스템에서 처리되는 자료의 흐름 추적

- 방향은 화살표로 표시

- 자료의 연관관계 나타냄

=> data flow

 

해설

 

자료 흐름도 구성요소

 

  • 프로세스(Process)
    • 동그라미
    • 자료를 변환시키는 처리 과정 하나를 나타냄
    • 처리/기능/변환 버블이라고도 함
  • 자료 흐름(Flow)
    • 화살표
    • 자료의 이동을 나타냄
  • 자료 저장소(Data Store)
    • 평행선(아래위만 선이 그어진 사각형)
    • 파일, 데이터베이스 등 자료가 저장되는 곳을 나타냄
  • 단말(Terminator)
    • 사각형
    • 시스템과 교신하는 외부 개체
    • 데이터의 입출력 주체(사용자 등)

 

13. 다수의 사용자를 제한되지 않은 환경에서 프로그램을 사용하게 하고 오류가 발견되면 개발자에게 통보하는 방식의 검사는?

=> 베타테스트

 

 

14. 한 모듈 내의 각 구성요소들이 공통의 목적을 달성하기 위해 서로 얼마나 관련되어 있는지의 기능적 연관의 정도를 나타내는 것은?

=> cohesion

 

해설: 

모듈화

1) 모듈화 목적
- 소프트웨어 복잡도가 감소하고, 변경이 쉬우며 프로그램 구현이 용이
- 개념 이해하기 : OSI 7계층 설명에서 자동화 부품화에 대한 개념
(각 단계는 독립적이며 상호 의존도는 낮아야 한다.)

2) 결합도 (Coupling) : 모듈 간에 상호 의존도
- 독립적인 모듈이 되기 위해서는 결합도가 약해야
- 종류 : 데이터 < 스탬프 < 제어 < 외부 < 공통 < 내용
① 데이터 결합도(Data) : 데이터 요소(파라미터,인수,매걔변수)로만 구성된 경우
 스탬프 결합도(Stamp) : 배열이나 레코드 등의 자료구조가 전달될 경우
③ 제어 결합도(Control) : 제어 요소가 전달된 경우
④ 외부 결합도(External) : 외부로 선언한 데이터(변수)를 참조할 경우
⑤ 공통 결합도(Common) : 공통 데이터 영역을 사용할 경우
 내용 결합도(Content) : 내부 기능 및 내부 자료를 참조할 경우

3) 응집도 (Cohesion) : 모듈 안의 요소들이 서로 관련되어 있는 정도
- 모듈이 독립적인 기능으로 잘 정의되어 있는 정도
- 독립적인 모듈이 되기 위해서는 응집도가 강해야 함
- 종류 : 우연적 < 논리적 < 시간적 < 절차적 < 교환적 < 순차적 < 기능적
① 우연적 응집도(Coincidental) : 서로 관련 없는 요소로만 구성
② 논리적 응집도(Logical) : 유사한 성격 또는 처리 요소들로 구성
③ 시간적 응집도(Temporal) : 특정 시간에 처리되는 몇 개의 기능을 모아 구성
④ 절차적 응집도(Procedural) : 구성 요소들이 그 기능을 순차적으로 수행할 경우
⑤ 교환적 응집도(Communication) : 동일한 입력과 출력을 사용하여 서로 다른 기능을 수행하는 구성 요소들이 모였을 경우
⑥ 순환적,순차적 응집도(Sequential) : 출력 데이터를 그 다음 활동의 입력 데이터로 사용할 경우
⑦ 기능적 응집도(Functional) : 단일 문제와 연관되어 수행될 경우

 

 

15. 스템의 구성 요소 중 출력된 결과가 예정된 목표를 만족시키지 못할 경우 목표 달성을 위해 반복 처리하는 것을 의미하는 것은?

=> Feedback

 

 

16. 소프트웨어 재사용에 대한 설명으로 옳지 않은 것은?

  •  시스템 명세, 설계, 코드 등 문서를 공유하게된다.
  •  소프트웨어 개발의 생산성을 향상시킨다.
  •  프로젝트 실패의 위험을 증가시킨다.
  •  새로운 개발 방법론의 도입이 어려울 수 있다.

 

17. 소프트웨어 역공학(Software reverse engineering)에 대한 설명으로 가장 옳지 않은 것은?

  •  기존 소프트웨어의 구성 요소와 그 관계를 파악하여 설계도를 추출한다.
  •  역공학의 가장 간단하고 오래된 형태는 재문서화라고 할 수 있다.
  •  일반적인 개발 단계와는 반대 방향으로 기존 코드를 복구하는 방법이다.
  •  대상 시스템 없이 새로운 시스템으로 개선하는 변경 작업이다.

 

 

모듈화
소프트웨어를 구성하는 단위로 나누는 과정

프로그램의 계층적 구조
트리 형태로 표현
상위 모듈은 하위 모듈을 제어

 


Fan In : 
자신을 사용하는 모듈의  (A:0, B:1, C:1, D:1, E: 1, F:2, G:1, H:2, I:1, J:1)
Fan Out: 
자신이 호출하는 모듈의 (A:3, B:2, C:2, D:1, E:1, F:1, G:1, H:0, I:0, J:0)

출처: https://ehclub.co.kr/1851 [언제나 휴일]

 

 

 

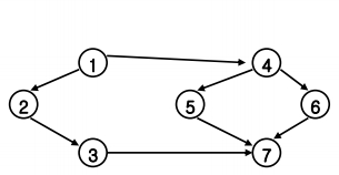
※ McCabe 의 소프트웨어 복잡도 측정

기출) McCabe 방법에 의한 다음 그래프의 V(G)의 크기는?

- 정답 : 3 

 

 


1. 구조적 분석 도구와 거리가 먼 것은?
가. 자료 사전
나. 자료 흐름도
다. 프로그램 명세서
라. 소단위 명세서

2. 시스템 개발을 위한 첫 단계는 사용자의 요구나 시스템에 대한 분석이라고 할 수 있다.

   이 중 사용자의 요구 분석을 위해 주로 사용하는 기법이 아닌 것은?
가. 사용자 면접
나. 현재 사용 중인 각종 문서 검토
다. 설문 조사를 통한 의견 수렴
라. 통제 및 보안 분석

3. 분석가(Analyst)가 갖추어야 할 능력 중 가장 중요한 것은?
가. 추상적인 개념을 파악하여 논리적인 구성요소로 분해할 수 있는 능력
나. 서로 상반되고 모호한 정보로부터 필요한 사항을 수렴할 수 있는 능력
다. 관련된 하드웨어와 소프트웨어에 관한 최신 기술
라. 거시적 관점에서 세부적인 요소를 관찰할 수 있는 능력


4. 자료 흐름도의 구성 요소가 아닌 것은?
가. 소단위 명세서     나. 단말
다. 프로세스            라. 자료 저장소

5. 자료 흐름도(DFD)를 작성하는데 지침이 될 수 없는 항목은?
가. 자료흐름은 처리(Process)를 거쳐 변환 될 때마다 새로운 이름을 부여한다.
나. 어떤 처리(Process)가 출력자료를 산출하기 위해서는 반드시 입력 자료가 발생해야 한다.
다. 자료저장소에 입력 화살표가 있으면 반드시 출력 화살표도 표시되어야 한다.
라. 처리(Process)와 하위 자료흐름도의 자료 흐름은 서로 일치 되어야 한다.


7. 자료 사전(Data Dictionary)에 사용되는 기호의 의미를 올바르게 나타낸 것으로 짝지어진 것은?
가. { } : 자료의 생략 가능,   ( ) : 자료의 선택
나. ( ) : 자료의 설명,          * * : 자료의 선택
다. = : 자료의 설명,           * * : 자료의 정의
라. + : 자료의 연결,           ( ) : 자료의 생략 가능 


8. HIPO(Hierarchy Input Process Output)에 대한 설명으로 옳지 않은 것은?
가. HIPO 다이어그램에는 가시적 도표(Visual Table of Contents), 총체적 다이어그램(Overview Diagram),

    세부적 다이어그램(Detail Diagram)의 세 종류가 있다.
나. 가시적 도표(Visual Table of Contents)는 시스템 에 있는 어떤 특별한 기능을 담당하는 부분의
​    입력, 처리, 출력에 대한 전반적인 정보를 제공한다.
다. HIPO다이어그램은 분석 및 설계 도구로서 사용된다.
라. HIPO는 시스템의 설계나 시스템 문서화용으로 사용되고 있는 기법이며, 기본 시스템 모델은 입력, 처리, 출력으로 구성된다.


9. 프로그램을 구성하는 기능을 기술한 것으로 입력, 처리, 출력을 기술하는 HIPO패키지에 해당하는 것은?
가. Overview Diagram
나. Detail Diagram
다. Visual Table of contents
라. Index Diagram

10. 데이터 흐름도(DFD)의 구성요소에 포함되지 않는 것은?
가. 처리 공정(process)
나. 자료 흐름(data flow)
다. 자료 사전(data dictionary)
라. 자료 저장소(data store)

11. 자료 사전(Data Dictionary)에서 반복을 의미하는 기호는?
가. =     나. { }     다. +      라. ( ) 

 


12. 다음은 소프트웨어 설계 모형의 구조도이다. (d), (c), (b), (a)에 들어갈 항목을 순서대로 나열한 것은?


가. 데이터 설계 - 아키텍처 설계-절차 설계 - 인터페이스 설계
나. 아키텍처 설계 - 데이터 설계 - 절차 설계 -인터페이스 설계
다. 아키텍처 설계 - 데이터 설계 - 인터페이스 설계 - 절차 설계
라. 데이터 설계 - 아키텍처 설계 - 인터페이스 설계 - 절차 설계 (아래 d 부터 위로)

13. 설계 품질을 평가하기 위해서는 반드시 좋은 설계에 대한 기준을 세워야 한다. 다음 중 좋은 기준이라고 할 수  없는 것은?
가. 설계는 모듈적 이어야 한다.
나. 설계는 자료와 프로시저에 대한 분명하고 분리된 표현을 포함해야 한다.
다. 소프트웨어 요소들 간의 효과적인 제어를 위해 설계에서 계층적 조직이 제시 되어야 한다.
라. 설계는 서브루틴이나 프로시저가 전체적이고 통합적이 될 수 있도록 유도되어야 한다.


15. 결합도(Coupling)가 강한 순서대로 옳게 나열된 것은?
가. 내용 결합도 > 공통 결합도 > 제어 결합도 > 스탬프 결합도 > 데이터 결합도
나. 공통 결합도 > 내용 결합도 > 제어 결합도 > 데이터 결합도 > 스탬프 결합도
다. 데이터 결합도 > 내용 결합도 > 제어 결합도 > 공통 결합도 > 스탬프 결합도
라. 공통 결합도 > 내용 결합도 > 제어 결합도 > 스탬프 결합도 > 데이터 결합도

해설: 종류 : 데이터 < 스탬프 < 제어 < 외부 < 공통 < 내용

 

16. 시스템을 설계할 때 필요한 설계 지침으로 두 모듈 간의 의존도를 나타내는 것은?
가. 결합도 coupling     나. 응집도 cohesion     다. 신뢰도    라. 종합도

17. 데이터 설계에 있어서 응집도(Cohesion)의 의미로 가장 적절한 것은?
가. 데이터 구조들이 시스템 전반에 얼마나 연관 관계를 가지고 있는가 하는 정도
나. 모듈이 개발 단계 별로 얼마나 잘 정의되어 있는가 하는 정도
다. 모듈이 독립적인 기능으로 잘 정의되어 있는 정도

라. 모듈들 간의 상호 연관성의 정도

18. 응집도cohesion가 강한 것부터 약한 순서로 옳게 나열된 것은?
가. Sequential→Functional→Procedural→Coincidental→Logical
나. Procedural→Coincidental→Functional→Sequential→Logical
다. (강)Functional→Sequential→Procedural→Logical→Coincidental(약)
라. Logical→Coincidental→Functional→Sequential→Procedural

19. 효과적인 모듈화 설계 방안이 아닌 것은 어느 것인가?
가. 응집도를 높인다.
나. 결합도를 낮춘다.
다. 복잡도와 중복을 피한다.
라. 모듈의 기능은 예측 불가능하도록 정의한다. 

20. 자료 흐름 중심 설계 절차를 올바른 순서로 나열한 것은?

 1. 자료 흐름도를 프로그램 구조로 사상한다.
 2. 흐름의 경계를 표시한다.
 3. 정보 흐름의 유형을 설정한다.
 4. 제어 계층을 분해(Factoring)시켜서 정의한다.
 5. 경험적 방법으로 구체화시킨다.

 

가. 1-2-3-4-5     나. 3-2-1-4-5
다. 4-5-3-2-1     라. 4-5-1-2-3
 

21. N-S(Nassi-Schneiderman) Chart에 대한 설명으로 거리가 먼 것은?
가. 논리의 기술에 중점을 둔 도형식 표현 방법이다.
나. 연속, 선택 및 다중 선택, 반복 등의 제어 논리 구조로 표현한다.
다. 주로 화살표를 사용하여 논리적인 제어 구조로 흐름을 표현한다.
라. 조건이 복합되어 있는 곳의 처리를 시각적으로 명확히 식별하는데 적합하다.

22. 나씨-슈나이더만(Nassi-Schneiderman)도표는 구조적 프로그램을 표현하기 위해 고안되었다.

     이 방법에서 알고리즘의 제어구조는 3가지로 충분히 표현될 수 있는데 이에 속하지 않는 것은 어느 것인가?
가. 선택, 다중 선택(If~then~else, Case)
나. 반복(Repeat~until, While, for)
다. 분기(Goto, Return)
라. 순차(Sequence)

23. 소프트웨어 개발 방법론에서 구현(Implementation) 에 대한 설명으로 가장 적절한 것은?
가. 요구사항 분석 과정 중 모아진 요구사항을 옮기는 것
나. 시스템이 무슨 기능을 수행하는지에 대한 시스템의 목표 기술
다. 프로그래밍 또는 코딩이라고 불리며 설계 명세서가 컴퓨터가 알 수 있는 모습으로 변환되는 과정
라. 시스템이나 소프트웨어 요구사항을 정의하는 과정

24. 구조적 프로그래밍에서 사용하는 기본적인 제어 구조에 해당하지 않는 것은?
가. 순차(Sequence)     나. 반복(Iteration)
다. 호출(Call)             라. 선택(Selection)

25. 블랙 박스 검사에 해당하지 않는 것은?
가. 데이터 흐름 검사(Data Flow Testing)
나. 동치 분할 검사(Equivalence Partitioning Testing)
다. 원인 효과 그래픽 기법(Cause-effect Graphing-testing)
라. 비교 검사(Comparison Testing)

26. 화이트 박스 시험(White Box Text)의 설명으로 옳지 않은 것은 어느 것인가?
가. 프로그램의 제어 구조에 따라 선택, 반복 등의 부분들을 수행함으로써 논리적 경로를 제어한다.
나. 모듈 안의 작동을 직접 관찰할 수 있다.
다. 소프트웨어 산물의 각 기능별로 적절한 정보 영역을 정하여 적합한 입력에 대한 출력의 정확성을 점검한다.
라. 원시 코드의 모든 문장을 한 번 이상 수행함으로써 수행된다.

27. 제품이 수행할 특정 기능을 알기 위해서 각 기능이 완전히 작동되는 것을 입증하는 검사로서, 기능 검사라고도 하는 것은?
가. 블랙 박스 검사         나. 그린 박스 검사
다. 블루 박스 검사         라. 화이트 박스 검사

28. 소프트웨어의 시험 중 화이트 박스 시험의 과정이 아닌 것은?
가. 조건 테스트          나. 모든 실행문 테스트
다. 경계 값 분석         라. 분기점 테스트

29. 소프트웨어 검사 단계를 올바른 순서로 나열한 것은?
㉠ 설계 검사   ㉡ 요구사항 검사   ㉢ 코드 검사  ㉣ 시스템 검사

가. ㉠ → ㉡ → ㉢ → ㉣
나. ㉢ → ㉠ → ㉡ → ㉣ : 코드검사 -> 설계검사 -> 요구사항 검사 -> 시스템 검사
다. ㉡ → ㉢ → ㉣ → ㉠
라. ㉡ → ㉣ → ㉢ → ㉠


30. 하향식 통합에 있어서 모듈 간의 통합 시험을 하기 위해 일시적으로 필요한 조건만을 가지고

     임시로 제공되는 시험용 모듈을 무엇이라고 하는가?
가. Driver                 . Stub
다. Sub-Program       라. Dummy-Program

 

31. 화이트 박스(WHITE BOX) 테스트 기법이 아닌 것은?
가. 데이터 흐름 검사(DATA FLOW TEST)
나. 루프 검사(LOOP TEST)
다. 기초 경로 검사(BASIC PATH TEST)
라. 동치 분할 검사(EQUIVALENCE PARTITIONING TEST) -> 블랙박스 테스트 기법

 

32. 상향식 통합 테스트(Bottom - up Integration Test)의 과정이 옳게 나열된 것은?
① 드라이버라는 제어 프로그램의 작성 (2)
② 낮은 수준의 모듈들을 클러스터로 결합 (1)
③ 클러스터의 검사 (3)
④ 드라이버를 제거하고 클러스터를 상위로 결합 (4)

가. ① → ② → ③ → ④
나. ② → ① → ③ → ④
다. ② → ③ → ① → ④
라. ① → ② → ④ → ③

33. 디버깅에 대한 설명 중 거리가 먼 것은?
가. 디버깅은 성공적인 테스팅의 결과로 발생한다.
나. 디버깅은 징후로부터 원인을 찾아 수정하는 과정이다.
다. 디버깅이 힘든 이유는 심리적인 요소가 많이 관여하기 때문이다.
라. 디버깅에 대한 체계적인 접근은 아직까지 제안되고 있지 않다.

34. 소프트웨어 유지보수에 관련된 설명으로 옳지 은 것은?
가. 유지보수는 소프트웨어가 인수, 설치된 후 발생하는 모든 공학적 작업을 말한다.
나. 유지보수는 원인에 따라 수리(Corrective) 보수, 적응(Adaptive)보수, 완전화(Perfective) 보수, 예방(Preventive)보수 등이 있다.
다. 소프트웨어에 가해지는 변경을 제어 관리하는 것을 형상 관리(Configuration Management)라고 한다.
라. 소프트웨어 비용 중 유지보수 비용은 개발비용보다 적다.

35. 소프트웨어 유지보수의 유형에 해당하지 않는 것은?
가. 수정 보수(Corrective Maintenance)
나. 기능 보수(Functional Maintenance)
다. 완전화 보수(Perfective Maintenance)
라. 예방 보수(Preventive Maintenance)

36. 유지보수(Maintenance) 작업의 분류상 가장 큰 비중(업무량 및 비용)을 차지하는 부분은?
가. 교정 정비(Corrective Maintenance)
나. 조정 정비(Adaptive Maintenance)
다. 예방 정비(Preventive Maintenance)
라. 완전 정비(Perfective Maintenance)

37. 외계인 코드(Alien Code)에 대한 설명으로 옳은 것은?
가. 프로그램의 로직이 복잡하여 이해하기 어려운 프로그램을 의미한다.
나. 아주 오래되어(15년 정도 이상) 유지보수 작업이 어려운 프로그램을 의미한다.
다. 오류(Error)가 없이 완벽하게 수정된 프로그램을 의미한다.
라. 4세대 언어로 사용자가 직접 작성한 프로그램을 의미한다.

38. 소프트웨어 유지보수의 부작용 중 자료코드에 대한 변경이 설계문서나 사용자가 사용하는 매뉴얼에 적용되지 않을 때에

     발생하는 부작용은 무엇인가?
가. 코딩 부작용          나. 자료 부작용
다. 문서화 부작용       라. 유지보수 부작용 

 

39. 소프트웨어 프로젝트 관리의 주요 구성 요소인 3P에 해당하지 않는 것은?

  •  People
  •  Problem
  •  Process
  •  Power