이진트리 넓이 우선 탐색
* 넓이우선 탐색이란? BFS = level 탐색

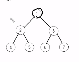
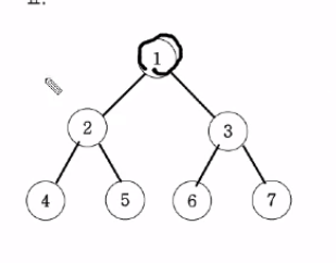
1번 노드를 탐색한다 - 1 level
1번 노드에서 1번만에 갈 수 있는 모두를 방문한다. - 2 level
1번 노드에서 2번만에 갈 수 있는 모두를 방문한다. - 3 level
1 2 3 4 5 6 7
* 레벨 탐색 할때 QUEUE 큐라는 자료구조를 사용한다.
https://gmlwjd9405.github.io/2018/08/02/data-structure-queue.html
[자료구조] 큐(Queue)란 - Heee's Development Blog
Step by step goes a long way.
gmlwjd9405.github.io
-큐는 먼저 들어간 것이 먼저 나오는 것 FIFO - First In First Out
- f 는 front
- b 는 back
처음에는 f = -1, b = -1 한다.
처음 들어갈 때, b ++;
b가 가리키는 자리에 1번 노드 값 넣기
꺼낼 때 , f++
1번 노드와 연결되어 있는 노드들 탐색하여 큐에 다 넣기
2와 3 두 자료를 큐에 넣는다. 이때 b++계속 됨
꺼낼때 다시 f++ 하고 2가 나옴
출력한 자료와 연결되어 있는 노드들을 다시 탐색한다. => 큐에 다시 넣는다.
=> 1번에서 가장 가까운 것 방문하고 그 다음으로 가까운 것 방문하고....
// 69번 - 넓이우선탐색 BFS (큐 자료구조 구현)
// 무방향 그래프리스트
#include <stdio.h>
#include <vector>
#include <algorithm>
using namespace std;
int Q[100], front = -1, back = -1, ch[10];
vector<int> map[10];
int main() {
int a, b, x;
for (int i = 1; i <= 6; i++) {
scanf("%d %d", &a, &b);
map[a].push_back(b); //인접리스트 만듬
map[b].push_back(a); //무방향이라 이 코드도 추가
}
//큐 운영
Q[++back] = 1; // 큐에 1번 루트 노드 넣기
ch[1] = 1; // check 배열에 1 넣기
while (front < back) { //같아지는 순간 queue는 비어있다는 것
x = Q[++front]; //빼는거
printf("%d", x); //빼고 출력
for (int i = 0; i < map[x].size(); i++) {
if (ch[map[x][i]] == 0) {
ch[map[x][i]] = 1;
Q[++back] = map[x][i];
}
}
}
return 0;
}
'[알고리즘] 문제풀이 연습' 카테고리의 다른 글
| [알골90제] 71번 - 송아지 찾기 (BFS: 상태트리탐색) (0) | 2019.08.09 |
|---|---|
| [알골90제] 70번 - 그래프 최단거리 BFS (0) | 2019.08.09 |
| [알골90제] 67번 최소비용 : DFS 가중치 방향 그래프 (인접행렬/인접리스트) STL : vector, pair (0) | 2019.08.06 |
| [알골90제] 66번 - 경로찾기:DFS (인접리스트로 풀기/64번과 문제 동일) (0) | 2019.08.05 |
| [알골90제] 64번-경로탐색 DFS(노드, 간선) / 65번미로탐색 DFS(인접행렬) (0) | 2019.08.05 |